林学院李明副教授近日在林学和生态学1区TOP期刊《Journal of Plant Ecology》上发表了题为《Synergistic Effects of Nitrogen Deposition and Phosphorus Distribution Patterns on Root morphological and chemical traits,and Nutrient Efficiency in Chinese Fir》(氮沉降与磷分布互作对杉木根系形态化学特性及养分效率的调控机制)的重要学术论文。氮沉降加剧了亚热带杉木人工林的磷限制,然而不同无性系根系对异质磷环境的适应机制尚不明确。该研究通过模拟氮沉降(低N:48 kg·hm-2·a-1;高N:180 kg·hm-2·a-1)与磷空间分布格局(均质低磷 vs.异质低磷),探究三种杉木无性系的生长与代谢调控规律。

研究发现,在异质磷环境中,高氮沉降显著促进了杉木地上和地下生物量的积累,尤其是磷高效型无性系的根长和根表面积显著增加。此外,高氮沉降诱导根系酸性磷酸酶(APase)活性显著增强,但抑制了有机酸总分泌量,这一现象在均质缺磷条件下尤为明显。通过代谢组学分析,研究团队发现氮输入驱动了根系分泌物组分的重构:乳酸、丙二酸、琥珀酸和草酸占比上升,而莽草酸、奎宁酸和苹果酸减少。磷高效无性系通过根系形态可塑性(根长与表面积)实现了更高的磷吸收效率(PAE),而磷敏感型无性系则依赖酶促磷活化策略,但其生物量积累受到限制。研究还表明,氮吸收效率(NAE)在高氮条件下与PAE呈现显著协同效应。
该研究揭示了氮沉降通过“形态-酶促”轴重构根系养分觅食策略:磷高效无性系优先通过根系增殖(而非有机酸分泌)利用空间异质性磷资源。基于此,研究团队提出了两点重要建议:(1)在高氮沉降区优先选育磷高效杉木无性系以提升林分生产力;(2)构建异质磷分布的针阔混交林可增强生态系统养分弹性。这一研究为亚热带酸化土壤杉木人工林的精准育林与可持续经营提供了重要的理论依据。

图1 本研究的概念图

图2 研究均匀和非均匀磷分布环境(a组)中N添加对幼苗地下、地上生物量和根冠比的影响(b、d、f组;平均值±SE)。不同的大写字母和小写字母分别表示同一处理内无性系间和同一无性系内处理间差异显著(p<0.05)。

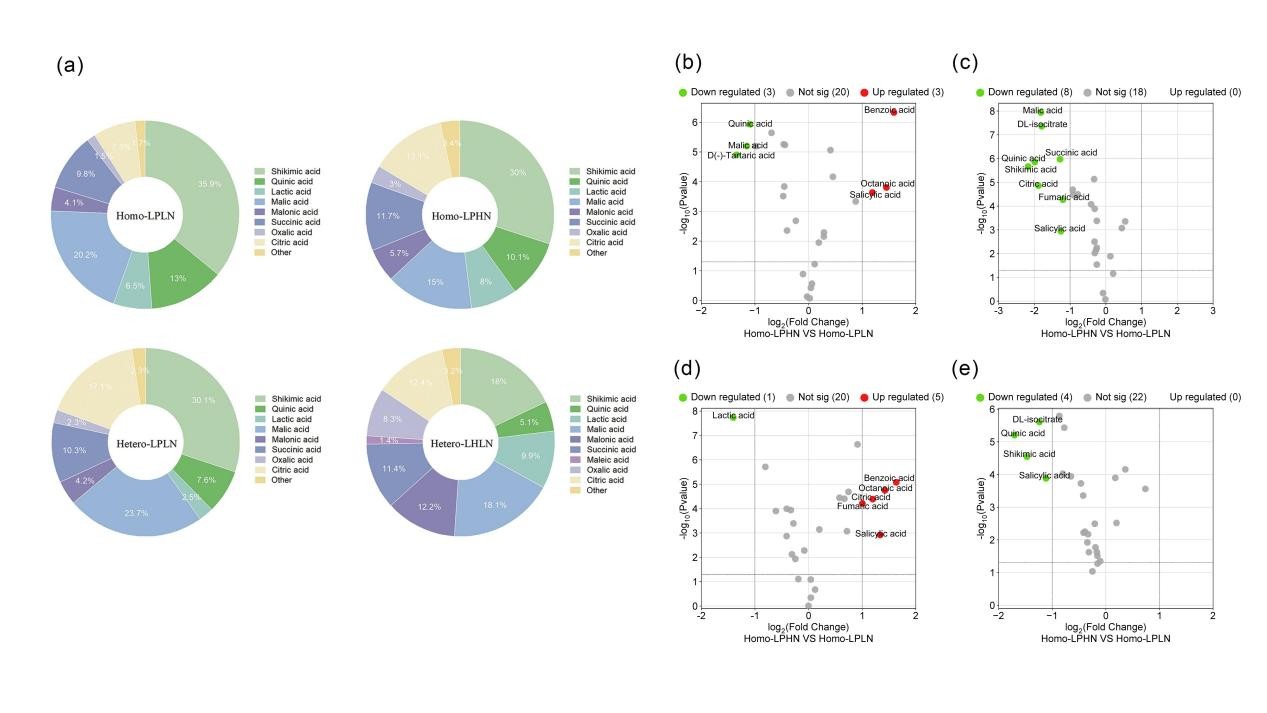
图3 均匀和非均匀P分布环境下N沉降对特定有机酸组成相对丰度的影响
图a用不同的颜色表示特定的有机酸;图b-e显示了每种有机酸的显著差异和丰度变化,横轴表示有机酸相对丰度的对数倍变化,纵轴表示显著性水平,用对数变换的p值表示。
该论文由林学院李明副教授担任通讯作者,2022级林木遗传育种专业硕士研究生张娅静为第一作者,林学院硕士研究生斯雅丽、俱世博、姜婉滢、赵铭臻、刘静为共同作者,马祥庆教授对论文进行了深入指导,米兰国际体育俱乐部官网林学院为第一署名单位。该研究得到了中央引导地方科技发展专项《磷高效利用杉木优良基因型的筛选及示范推广》(2024L3003)和福建省自然科学基金项目《低磷胁迫下不同磷效率杉木基因型对硝态氮添加的根系响应研究》(2022J01122)的资助。
原文链接:https://academic.oup.com/jpe/advance-article/doi/10.1093/jpe/rtaf062/8133699